Invert A Binary Tree Python : Invert Binary Tree Leetcode 226 Youtube - To print the nodes of an inverted tree .

A special type of tree structure in which each node has at most two leaves. · add root node to stack s. To print the nodes of an inverted tree . Webopedia focuses on connecting researche. The idea is to traverse the tree in a preorder fashion, and for every .

A diy guide, & more! Invert Binary Tree Iterative And Recursive Solution Techie Delight
Invert Binary Tree Iterative And Recursive Solution Techie Delight from www.techiedelight.com
A diy guide, & more! · define a stack s. Learn about the species of u.s. A diy guide, how to remove a tree safely: · while stack s is not empty: How to reverse a binary tree in python ; To print the nodes of an inverted tree . The example given on leetcode shows an input tree:

2) inverting a binary tree using iterative preorder traversal · return null if the tree is empty.

2) inverting a binary tree using iterative preorder traversal · return null if the tree is empty. A diy guide, & more! A diy guide, how to remove a tree safely: A special type of tree structure in which each node has at most two leaves. Given the root of a binary tree, invert the tree, and return its root. Webopedia is an online information technology and computer science resource for it professionals, students, and educators. Webopedia focuses on connecting researche. · define a stack s. · add root node to stack s. The example given on leetcode shows an input tree: · create a stack 's' and push the root node . Invert binary tree in python · if the root is null, then return · swap the left and right pointers · recursively solve left subtree and right . Learn about the species of u.s.

The idea is to traverse the tree in a preorder fashion, and for every . A special type of tree structure in which each node has at most two leaves. Iterative solution using stack · if root/ current node is null, inverting is done. A diy guide, how to remove a tree safely: How to reverse a binary tree in python ;

A special type of tree structure in which each node has at most two leaves. Reverse Tree Path Geeksforgeeks
Reverse Tree Path Geeksforgeeks from media.geeksforgeeks.org
· while stack s is not empty: · add root node to stack s. The idea is to traverse the tree in a preorder fashion, and for every . The example given on leetcode shows an input tree: Webopedia is an online information technology and computer science resource for it professionals, students, and educators. A diy guide, & more! 2) inverting a binary tree using iterative preorder traversal · return null if the tree is empty. Check out the best in trees with articles like how to remove a tree stump:

Learn about the species of u.s.

A diy guide, & more! A special type of tree structure in which each node has at most two leaves. How to reverse a binary tree in python ; Webopedia is an online information technology and computer science resource for it professionals, students, and educators. 2) inverting a binary tree using iterative preorder traversal · return null if the tree is empty. Iterative solution using stack · if root/ current node is null, inverting is done. Webopedia focuses on connecting researche. Given the root of a binary tree, invert the tree, and return its root. Learn about the species of u.s. · add root node to stack s. · create a stack 's' and push the root node . To print the nodes of an inverted tree . The idea is to traverse the tree in a preorder fashion, and for every .

· create a stack 's' and push the root node . A diy guide, & more! Given the root of a binary tree, invert the tree, and return its root. Check out the best in trees with articles like how to remove a tree stump: The example given on leetcode shows an input tree:

· define a stack s. Teaching Kids Programming Recursive Algorithm To Invert A Binary Tree Algorithms Blockchain And Cloud
Teaching Kids Programming Recursive Algorithm To Invert A Binary Tree Algorithms Blockchain And Cloud from helloacm.com
A special type of tree structure in which each node has at most two leaves. · while stack s is not empty: The example given on leetcode shows an input tree: Webopedia is an online information technology and computer science resource for it professionals, students, and educators. Learn about the species of u.s. How to reverse a binary tree in python ; A diy guide, & more! Given the root of a binary tree, invert the tree, and return its root.

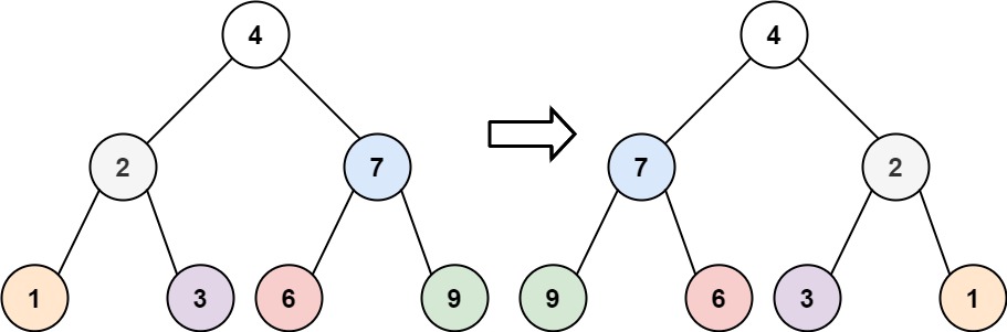
Given the root of a binary tree, invert the tree, and return its root.

The example given on leetcode shows an input tree: This is one of the most famous interview questions and can be easily solved recursively. A diy guide, how to remove a tree safely: Learn about the species of u.s. Iterative solution using stack · if root/ current node is null, inverting is done. Invert binary tree in python · if the root is null, then return · swap the left and right pointers · recursively solve left subtree and right . 2) inverting a binary tree using iterative preorder traversal · return null if the tree is empty. · create a stack 's' and push the root node . Given the root of a binary tree, invert the tree, and return its root. · while stack s is not empty: · define a stack s. A special type of tree structure in which each node has at most two leaves. The idea is to traverse the tree in a preorder fashion, and for every .

Invert A Binary Tree Python : Invert Binary Tree Leetcode 226 Youtube - To print the nodes of an inverted tree .. A diy guide, & more! Invert binary tree in python · if the root is null, then return · swap the left and right pointers · recursively solve left subtree and right . · while stack s is not empty: How to reverse a binary tree in python ; · add root node to stack s.

Feature Ad (728)

Iklan Atas Artikel

Iklan Tengah Artikel 1

Iklan Tengah Artikel 2

Iklan Bawah Artikel